Home
About
Our Year In Review - 2025
rforh Speakers
Carl Kerby
Juan Valdes
Frank Figueroa Jr
Dave Glander
Holly Varnum
Bob Gillespie
Events
Speaking Events
Jump Start
Reasons for Worship
Equip
Equip Retreat
Equip Rally
DeBunked
Resources
EquipYou
Blog
rforh App
The Plumb Line
Rooted and Ready
Media
rforh EspaƱol
Glad You Asked
12 Minutes of Christmas
Store
Donate
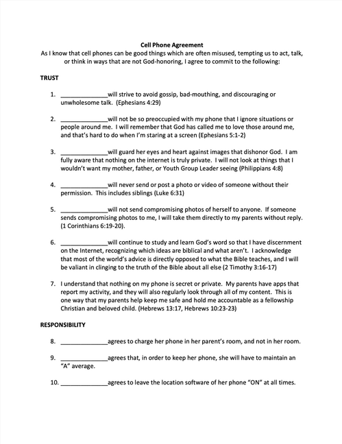
Click on image to download